Rafael Andre Cristoferi
Acadêmico de Engenharia Civil, da Universidade Paranaense
Ana Claudia Bergmann
Professora Orientadora, Especialista, do curso de Engenharia Civil, Universidade Paranaense,
Vinicius Lorenzi
Coorientador, Mestre, Engenheiro Civil.
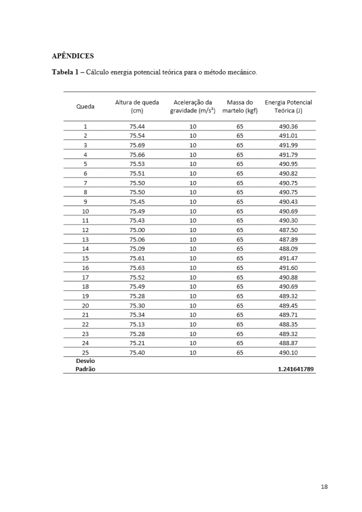
Com o intuito de acompanhar os avanços tecnológicos relativos à construção civil no decorrer dos últimos tempos, os processos de investigação do solo têm sofrido severa evolução em seu principal método, sendo a sondagem à percussão (SPT) um exemplo. Uma evolução notada no método é o sistema de sondagem SPT mecanizado, o qual permite resultados com maior confiabilidade por se tratar de um sistema que é automatizado, garantindo maior precisão nos resultados. Dessa forma, o trabalho em questão apresenta as disparidades entre os métodos de execução convencional e mecanizada para o reconhecimento do solo, comparando a variação da energia de queda do martelo em cada método. A metodologia fora baseada na análise das imagens obtidas nos ensaios de campo resultando na medição da altura de queda do martelo para cada golpe observado, concluindo na verificação de 25 golpes em cada método estudado, mecânico e manual. Comprovou-se, por meio das observações, que existe maior variação da altura de queda, em consequência da energia potencial direcionada ao ensaio manual, em comparação com o ensaio mecânico. Sendo assim, conclui-se que uma vez encontradas menores diferenças nos resultados de altura de queda e energia potencial teórica, no ensaio mecânico, este possui maior confiabilidade nos dados obtidos.

Clique aqui para efetuar o download do trabalho em formato PDF.
